中国政府网
湖南省政府网
怀化市政府网
网站支持IPv6
无障碍浏览
长者专区
繁
登录
|
注册
首页
县政府
新闻中心
政务公开
解读回应
政府数据
政务服务
互动交流
走进溆浦
首页
>
政务公开
>
部门信息公开目录
>
县文化旅游广电体育局
>
文件通知
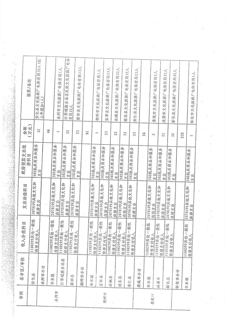
湖南省财政厅关于下达2021年中央(国家级非遗保护文化人才)文化专项资金的通知
发布时间: 2021-07-10 10:09
信息来源:溆浦县政府办
初审:
复审:
终审:
分享到